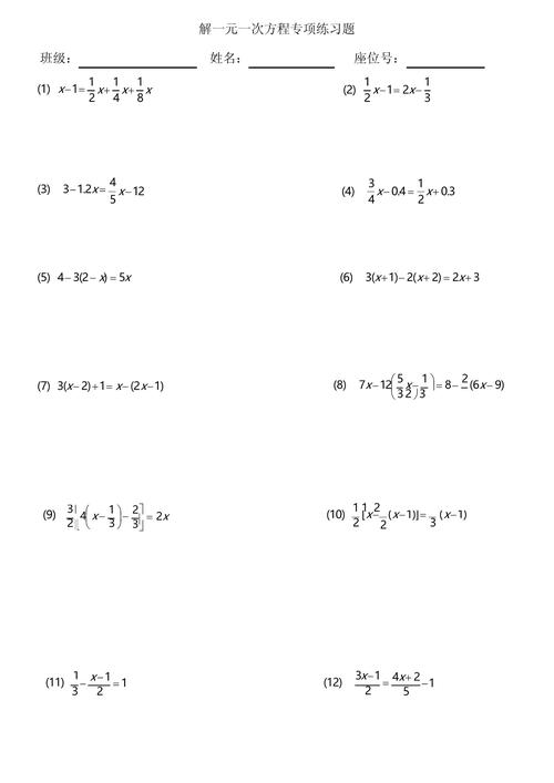
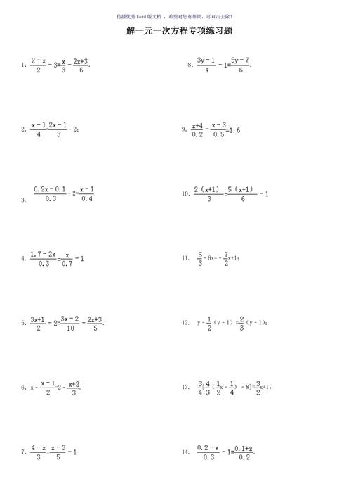
小学一元一次方程练习题 (50道)
说明: 请解下列方程,求未知数 x 的值。

(图片来源网络,侵删)
第一部分:基础入门 (1-10题)
主要考察等式的基本性质,即“等式两边同时加上或减去同一个数,等式仍然成立”。
x + 5 = 12x - 8 = 1520 + x = 35x - 3 = 9x + 18 = 5027 = x + 10x - 7 = 1145 = x + 20x + 25 = 100x - 12 = 24
第二部分:乘除法入门 (11-20题)
主要考察等式的另一个基本性质,即“等式两边同时乘以或除以同一个不为0的数,等式仍然成立”。
3x = 21x ÷ 4 = 57x = 56x ÷ 6 = 85x = 45x ÷ 9 = 38x = 64x ÷ 7 = 66x = 42x ÷ 5 = 9
第三部分:综合应用 (21-35题)
需要综合运用加减法和乘除法,是解方程的核心。
x + 15 = 4x3x - 5 = 10x ÷ 3 + 2 = 72x + 8 = 204x - 7 = 9x - 6 = 2x - 155x = 2x + 18x ÷ 4 - 1 = 47x - 10 = 4x3x + 5 = 2x + 14x + 20 = 3x - 4(x - 5) ÷ 2 = 62(x + 3) = 164x - 5 = 2x + 76x - 15 = 3x
第四部分:稍复杂综合 (36-45题)
这类方程可能包含括号或需要先合并同类项,难度略有提升。

(图片来源网络,侵删)
3x + 2 = 2x + 95x - 8 = 3x + 6x + 2x + 3x = 484x - (x + 5) = 152(x - 1) = 3x - 86x - 4 = 3x + 145x + 20 = 3x + 504(x - 2) = 2x + 8x - 10 = 2(x - 5)7x - 5 = 5x + 7
第五部分:挑战与拓展 (46-50题)
可以作为思维拓展,检验孩子的综合解题能力。
3x + 5 = 5x - 52x + 7 = x + 2x - 34x - 2 = 2(2x - 1)(提示:观察一下,这个方程有什么特点?)x + x + x = x + 125(x - 4) = 3(x + 2)
参考答案与解析
第一部分:基础入门
x = 7x = 23x = 15x = 12x = 32x = 17x = 18x = 25x = 75x = 36
第二部分:乘除法入门
11. x = 7
12. x = 20
13. x = 8
14. x = 48
15. x = 9
16. x = 27
17. x = 8
18. x = 42
19. x = 7
20. x = 45
第三部分:综合应用
21. x = 5
22. x = 5
23. x = 15
24. x = 6
25. x = 4
26. x = 9
27. x = 6
28. x = 20
29. x = 5
30. x = 9
31. x = 12
32. x = 17
33. x = 5
34. x = 6
35. x = 5
第四部分:稍复杂综合
36. x = 7
37. x = 7
38. x = 8
39. x = 20 / 3 (或 6又2/3)
40. x = 6
41. x = 6
42. x = 15
43. x = 6
44. x = 0
45. x = 3
第五部分:挑战与拓展
46. x = 5
47. x = 10
48. x 为任意数 (这是一个恒等式)
49. x = 6
50. x = 13
解题技巧与家长辅导建议
- 理解核心概念:告诉孩子,解方程就像一个“天平”,要始终保持天平的平衡,我们做的任何操作(两边同时加、减、乘、除同一个数),都是为了最终让天平的一边只剩下
x,另一边就是答案。 - 掌握基本步骤:
- 目标:把未知数
x单独放在等式的一边。 - 方法:根据运算的逆运算来移动数字。
- 加几,就减几。
- 减几,就加几。
- 乘几,就除以几。
- 除以几,就乘以几。
- 目标:把未知数
- 从易到难:先让孩子熟练掌握第一、二部分的题目,建立信心,再逐步挑战综合应用题。
- 规范书写:提醒孩子写清楚每一步的计算过程,
2x + 8 = 20解:2x = 20 - 8(两边同时减8)2x = 12x = 12 ÷ 2(两边同时除以2)x = 6 - 检验习惯:解出答案后,可以让孩子把答案代入原方程,看看等式是否成立,对于
x = 6,代入2*6 + 8 = 12 + 8 = 20,与右边相等,说明答案正确,这是非常好的学习习惯。 - 鼓励为主:遇到难题时,多鼓励孩子,引导他们思考,而不是直接给出答案,可以问:“你觉得这个
+5应该怎么处理才能把它移到另一边去呢?”
希望这50道题和详细的解析能帮助您的孩子更好地掌握一元一次方程!
